Python 3.0 Sintaxes representadas por Diagrama Sintático - Diagrama de Sintaxe gerados a partir de BNF .
1. file_inputDiagrama Sintático - Diagrama de Sintaxe Python 3.0 file_input
2. single_inputDiagrama Sintático - Diagrama de Sintaxe Python 3.0 single_input
3. eval_inputDiagrama Sintático - Diagrama de Sintaxe Python 3.0 eval_input
4. stmtDiagrama Sintático - Diagrama de Sintaxe Python 3.0 stmt
5. if_stmtDiagrama Sintático - Diagrama de Sintaxe Python 3.0 if_stmt
>>> if x < 0:
... x = 0
... print 'Negative changed to zero'
... elif x == 0:
... print 'Zero'
... elif x == 1:
... print 'Single'
... else:
... print 'More'
6. while_stmtDiagrama Sintático - Diagrama de Sintaxe Python 3.0 while_stmt
>>> # Fibonacci series:
... # the sum of two elements defines the next
... a, b = 0, 1
>>> while b < 10:
... print b
... a, b = b, a+b
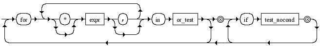
7. for_stmtDiagrama Sintático - Diagrama de Sintaxe Python 3.0 for_stmt
>>> # Measure some strings:
... a = ['cat', 'window', 'defenestrate']
>>> for x in a:
... print x, len(x)
8. with_stmtDiagrama Sintático - Diagrama de Sintaxe Python 3.0 with_stmt
9. decoratorDiagrama Sintático - Diagrama de Sintaxe Python 3.0 decorator
10. classdefDiagrama Sintático - Diagrama de Sintaxe Python 3.0 classdef
11. funcdefDiagrama Sintático - Diagrama de Sintaxe Python 3.0 funcdef
12. small_stmtDiagrama Sintático - Diagrama de Sintaxe Python 3.0 small_stmt
13. expr_stmtDiagrama Sintático - Diagrama de Sintaxe Python 3.0 expr_stmt
14. flow_stmtDiagrama Sintático - Diagrama de Sintaxe Python 3.0 flow_stmt
15. import_stmtDiagrama Sintático - Diagrama de Sintaxe Python 3.0 import_stmt
16. import_fromDiagrama Sintático - Diagrama de Sintaxe Python 3.0 import_from
17. import_as_namesDiagrama Sintático - Diagrama de Sintaxe Python 3.0 import_as_names
18. try_stmtDiagrama Sintático - Diagrama de Sintaxe Python 3.0 try_stmt
19. except_clauseDiagrama Sintático - Diagrama de Sintaxe Python 3.0 except_clause
20. typedargslistDiagrama Sintático - Diagrama de Sintaxe Python 3.0 typedargslist
21. name_testDiagrama Sintático - Diagrama de Sintaxe Python 3.0 name_test
22. tfpdefDiagrama Sintático - Diagrama de Sintaxe Python 3.0 tfpdef
23. testDiagrama Sintático - Diagrama de Sintaxe Python 3.0 test
24. suiteDiagrama Sintático - Diagrama de Sintaxe Python 3.0 suite
25. arglistDiagrama Sintático - Diagrama de Sintaxe Python 3.0 arglist
26. argumentDiagrama Sintático - Diagrama de Sintaxe Python 3.0 argument
27. varargslistDiagrama Sintático - Diagrama de Sintaxe Python 3.0 varargslist
28. name_test_listDiagrama Sintático - Diagrama de Sintaxe Python 3.0 name_test_list
29. yield_exprDiagrama Sintático - Diagrama de Sintaxe Python 3.0 yield_expr
30. or_testDiagrama Sintático - Diagrama de Sintaxe Python 3.0 or_test
31. exprDiagrama Sintático - Diagrama de Sintaxe Python 3.0 expr
32. atomDiagrama Sintático - Diagrama de Sintaxe Python 3.0 atom
33. testlist_compDiagrama Sintático - Diagrama de Sintaxe Python 3.0 testlist_comp
34. dictorsetmakerDiagrama Sintático - Diagrama de Sintaxe Python 3.0 dictorsetmaker
35. trailerDiagrama Sintático - Diagrama de Sintaxe Python 3.0 trailer
36. subscriptDiagrama Sintático - Diagrama de Sintaxe Python 3.0 subscript
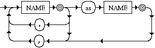
37. dotted_as_namesDiagrama Sintático - Diagrama de Sintaxe Python 3.0 dotted_as_names
38. comp_forDiagrama Sintático - Diagrama de Sintaxe Python 3.0 comp_for
39. test_nocondDiagrama Sintático - Diagrama de Sintaxe Python 3.0 test_nocond
Python Diagrama Sintático - Diagrama de Sintaxe Original wikipedia Arquivo origem: Python3.xml. Diagramas Sintáticos gerados a partir de BNF pelo componente BNF -> Diagrama Sintático.
Python 3.0 {39} file_input single_input eval_input stmt if_stmt while_stmt for_stmt with_stmt decorator classdef funcdef small_stmt expr_stmt flow_stmt import_stmt import_from import_as_names try_stmt except_clause typedargslist name_test tfpdef test suite arglist argument varargslist name_test_list yield_expr or_test expr atom testlist_comp dictorsetmaker trailer subscript dotted_as_names comp_for test_nocond
Índice Local {9}
Projeto Apoie {6} Projeto Apoie Projeto PAS Serviço Web Relacionamentos entre Personagens
Base de Conhecimento {5} Conhecimento Dado Informação consolidada Página Pronta - site apoie.org Pulo do Gato
Contato Projeto Apoie
Linguagem {5}
Javascript {3} Referências e Ferramentas Sintaxe Cheat Sheet
Erlang Quick Sort
LDC {2} LDC LDC - Sintaxe
Definição {9} Erlang Python 3.0 Ruby 1.9.1 - Sintaxe Ruby 1.9.1 - Léxico Shell Lua PHP XML Lazy BNF
If
Dojo {4} Coding Dojo Coding Dojo - Formatos
Soluções Coding Dojo {6} Dojo #34: Expressão Aritmética Dojo #33: Impedimento Dojo #32: Sequência Numérica Dojo #31: Tráfego Dojo #29: Boliche Dojo #28: Jogo da Vida
Dojo Rio
Qualidade {2}
5W {3} 5W2H 5W1H 5W2H - 5W1H - Modelo
PDCA
Componente {5} Componente ExibirLinguagem.htm Gerar Páginas Lista Tabela de Decisões
Paletas {10} Paleta - Mais utilizadas Paleta - Apoie Paleta - Apresentação e Componentes Paleta - Diagramas Paleta - Diagrama Sintático Paleta - Dojo Paleta - Logos Paleta - Projetos Paleta - Setas Paleta - Tecnologia
Evento {4} Pendência Estados de Componentes Scrum Prioridade
Método {5} Oficina Serviço Web Warnier/Orr Basics Apresentar Problema Resolvido Simples x Complexo
Imposto de Renda