Lua 5.1 Sintaxes representadas por Diagrama Sintático - Diagrama de Sintaxe gerados a partir de BNF .
1. blockDiagrama Sintático - Diagrama de Sintaxe Lua lua
2. statDiagrama Sintático - Diagrama de Sintaxe Lua stat
3. ifDiagrama Sintático - Diagrama de Sintaxe Lua if
4. funcnameDiagrama Sintático - Diagrama de Sintaxe Lua funcname
5. varDiagrama Sintático - Diagrama de Sintaxe Lua var
6. expDiagrama Sintático - Diagrama de Sintaxe Lua exp
7. prefixexpDiagrama Sintático - Diagrama de Sintaxe Lua prefixexp
8. functioncallDiagrama Sintático - Diagrama de Sintaxe Lua functioncall
9. functionDiagrama Sintático - Diagrama de Sintaxe Lua function
10. funcbodyDiagrama Sintático - Diagrama de Sintaxe Lua funcbody
11. parlistDiagrama Sintático - Diagrama de Sintaxe Lua parlist
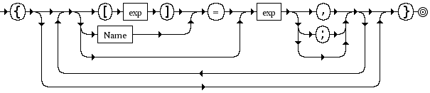
12. tableconstructorDiagrama Sintático - Diagrama de Sintaxe Lua tableconstructor
13. binopDiagrama Sintático - Diagrama de Sintaxe Lua binop
14. unopDiagrama Sintático - Diagrama de Sintaxe Lua unop
Arquivo origem: Lua.xml. Diagramas Sintáticos gerados a partir de BNF pelo componente BNF -> Diagrama Sintático.