Lua 5.1
Sintaxes representadas por
Diagrama Sintático - Diagrama de Sintaxe
gerados a partir de
BNF
.
1
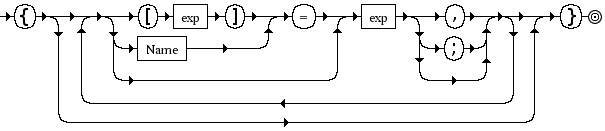
. block
2
. stat
3
. if
4
. funcname
5
. var
6
. exp
7
. prefixexp
8
. functioncall
9
. function
10
. funcbody
11
. parlist
12
. tableconstructor
13
. binop
14
. unop
Arquivo origem:
Lua.xml
.
Diagramas Sintáticos
gerados a partir de
BNF
pelo componente
BNF -> Diagrama Sintático
.
Lua 5.1 {14}
block
stat
if
funcname
var
exp
prefixexp
functioncall
function
funcbody
parlist
tableconstructor
binop
unop
Índice Local {9}
Projeto Apoie {6}
Projeto Apoie
Projeto PAS
Serviço Web
Relacionamentos entre Personagens
Base de Conhecimento {5}
Conhecimento
Dado
Informação consolidada
Página Pronta - site apoie.org
Pulo do Gato
Contato Projeto Apoie
Linguagem
{5}
Javascript {3}
Referências e Ferramentas
Sintaxe
Cheat Sheet
Erlang Quick Sort
LDC {2}
LDC
LDC - Sintaxe
Definição {9}
Erlang
Python 3.0
Ruby 1.9.1 - Sintaxe
Ruby 1.9.1 - Léxico
Shell
Lua
PHP
XML
Lazy BNF
If
Dojo {4}
Coding Dojo
Coding Dojo - Formatos
Soluções Coding Dojo {6}
Dojo #34: Expressão Aritmética
Dojo #33: Impedimento
Dojo #32: Sequência Numérica
Dojo #31: Tráfego
Dojo #29: Boliche
Dojo #28: Jogo da Vida
Dojo Rio
Qualidade {2}
5W {3}
5W2H
5W1H
5W2H - 5W1H - Modelo
PDCA
Componente {5}
Componente
ExibirLinguagem.htm
Gerar Páginas
Lista
Tabela de Decisões
Paletas {10}
Paleta - Mais utilizadas
Paleta - Apoie
Paleta - Apresentação e Componentes
Paleta - Diagramas
Paleta - Diagrama Sintático
Paleta - Dojo
Paleta - Logos
Paleta - Projetos
Paleta - Setas
Paleta - Tecnologia
Evento {4}
Pendência
Estados de Componentes
Scrum
Prioridade
Método {5}
Oficina
Serviço Web
Warnier/Orr Basics
Apresentar Problema Resolvido
Simples x Complexo
Imposto de Renda